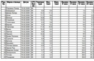
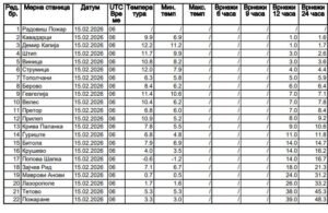
Територијата на Македонија во изминатите 24 часа до 7 часот утрово беше под влијание на длабок циклонски систем со центар над Џеновскиот залив и токму овој циклонски систем услови насекаде кај нас да имаме врнежи од дожд кои најобилни беа во западните и во северозападните предели па токму и во овие предели од Македонија количеството на наврнат воден талог е најголемо. На планините во западните и во северозападните предели од Македонија со надморска височина од над 1400/1500 метри имаше врнежи од снег а повремено дуваше и засилен до силен ветер од јужен и од југоисточен правец.

На табелата која ја објави УХМР како што кажав најмногу воден талог наврна во западна и во северозападна Македонија па така во Пожаране до 7 часот утрово наврнаа 48 литри на метар квадратен дожд а од градовите најмногу дожд наврна во Тетово и тоа 45 литри на метар квадратен дожд.
